
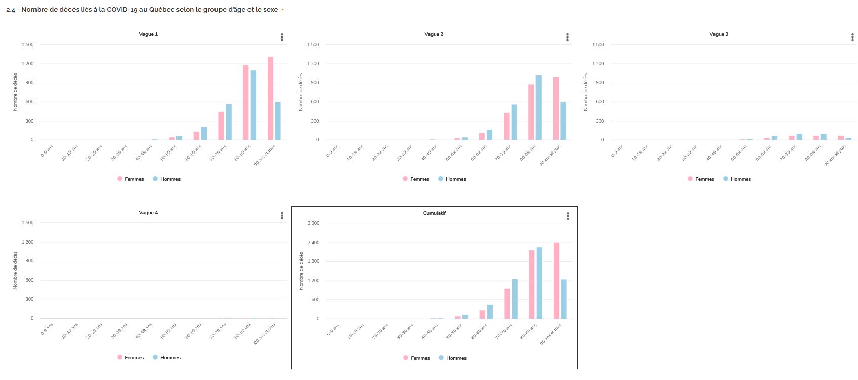
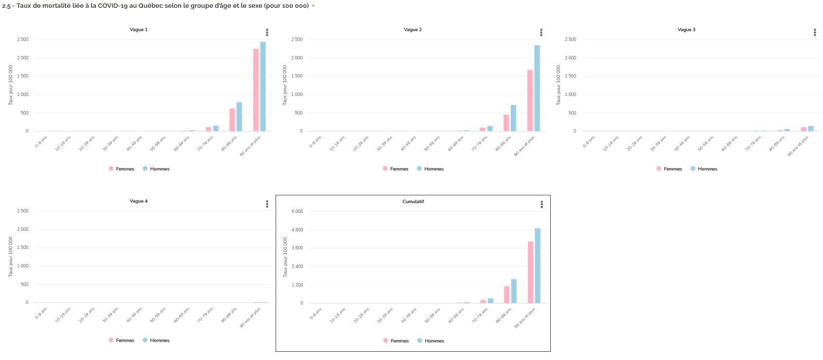
On savait que c'était pour arriver, on ne savait pas pourquoi et on ne le sait pas encore, dans un poste sur Twitter, François Legault nous dit «on n’est jamais à l’abri des surprises avec la pandémie» en fait il dit n'importe quoi, il y a une raison, mais la garde pour lui, car les statistiques au Québec sont très claires, aucun enfant n’est décédé de la Covid, donc il n'y a aucune raison.



François Legault annonce vouloir vacciner vos enfants, avec un médicament extrêmement dangereux, c'est un produit expérimental , personne n’est capable de dire ce qu'il réserve dans l'avenir pour celui qui se le fait injecter. Si vous ne le savez pas, François Legault est un menteur pathologique, manipulateur, ce qu'il ne vous dit pas , même après la vaccination des 5 à 11 ans, il va maintenir l’urgence sanitaire!
N'oubliez pas une chose il avait dit la même chose pour la fin de l'urgence sanitaire en septembre pour les 12-17 vaccinés.
Plusieurs scientifiques ont mis en garde la population sur les dangers de la vaccination contre la COVID-19 chez les 10-19 ans, les risques étant, à leur avis, plus élevés que les bénéfices pour cette catégorie d’âge, quel est le risque pour les plus jeunes ?
Voilà ce que les gens pensent de lui, après on fera croire que 60%, 70% de la population voteraient pour lui ! mummmm, ça sent les sondages biaisés de Jean-Marc Leger








































